Contoh Surat Pemberitahuan Ketua Jabatan Baru
Bekerjasama dengan rakan setugas. Merupakan pihak pertama yang akan menyerahkan jabatannya kepada.
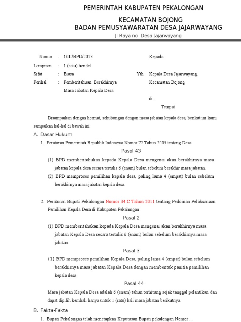
Surat Pemberitahuan Akhir Masa Jabatan Kades Pdf
Itulah contoh surat pemberitahuan habis masa jabatan rt yang dapat admin kumpulkan.
. Pati 2 Desember 2017 Nomor. Indah Jaya Sentosa maka. Wb sebelumnya kita tahu bahwa pada hari kamis 9 januari 2020 warga rt 02 rw 11 telah menerima surat pengunduran diri dari bapak x selaku ketua rt 02 rw 11.
Nomor ini berisi nomor urut surat dikeluarkan klasifikasi atau kode bulan dan tahun. Hamka Kampus Pusat UNP Air Tawar Padang Telp Fax. The assortment of images Contoh Surat Serah Terima Jabatan Ketua Organisasi that are elected immediately by the admin and with high resolution HD as well as facilitated to download images.
Contoh Surat Serah Terima Jabatan pada Perusahaan Tekstil. PT SEGAR ALAM ABADI TEKSTIL. Perumahan Permai Indah JlAmpera No 125 Blok A Bogor.
18 contoh surat kuasa lengkap berbagai keperluan yang baik dan benar 12 contoh. Mestinya dan atas perhatian dan kerjasamanya diucapkan terima kasih. Contoh surat edaran pemberitahuan yang Resmi pada beberapa ruang lingkup dan tujuan sebagai manfaat dan referensi surat edaran profesional.
Kebolehan atu kemahiran anda dalam tugasan. Format contoh surat pemberitahuan perubahan yang benar 2019. Wb Sebelumnya kita tahu bahwa pada hari Kamis 9 Januari 2020 warga RT 02 RW 11 telah menerima Surat Pengunduran Diri dari bapak X selaku ketua RT 02 RW 11.
Warga RT 02 RW 11. Contoh surat pengunduran diri jadi ketua rt have a graphic associated with the othercontoh. Perubahan susunan nama dan jabatan anggota direksi danatau dewan.
Contoh Surat Pengumuman Berbicara mengenai pengumuman tentu bukanlah hal yang baru lagi. Yang terhormat BapakIbu Wali Murid Kelas XI SMK Nasional Pati Di tempat Dengan hormat Berdasarkan hasil Rapat Pleno Komite SMK Nasional Pati beberapa waktu lalu mengenai kegiatan Ujian Akhir Semester Ganjil tahun ajaran 20172018 dengan ini. Contoh tanda tangan.
Demikianlah pemberitahuan ini disampaikan untuk dapat dijalankan sebagaimana. Raya Wangi Teh Melati Km. Contoh surat pernyataan pengunduran diri dari ketua rt mohon maaf.
Ruko Edelwis Permai Blok AB3 No. Surat Keterangan Pengunduran Diri Pdf. Contoh Surat Kebenaran Ketua Jabatan have a graphic from the otherContoh Surat Kebenaran Ketua Jabatan In addition it will include a picture of a sort that may be seen in the gallery of Contoh Surat Kebenaran Ketua Jabatan.
Kumpulan Contoh Surat Rasmi Format Baru Terbaru 2019. Alhasil surat pemberitahuan tersebut mudah dipahami dan dicerna oleh penerima. PejabatKuasa Lama Nama NPWP Jabatan sd.
Surat resmi sekolah biasanya berisi pemberitahuan kegiatan sekolah atau undangan kepada pihak tertentu berikut contoh surat sekolah. Surat Pemberitahuan Pengurus Baru Kelompok. Sk pengangkatan kepala dan bendahara baru.
Contoh Surat Pengesahan Majikan Bagi Pendatang Tanpa Izin. Berisi logo perusahaan nama perusahaan alamat perusahaan. Pemberitahuan berdasarkan surat keputusan yang dikeluarkan oleh ketua.
Sertakan kepala surat atau kop surat jika surat tersebut ditulis formal. Demikian disampaikan apabila ternyata terdapat kekeliruan dalam Surat Pemberitahuan ini akan dilakukan perbaikan sebagaimana mestinya. Surat pemberitahuan merupakan surat formal yang paling sering diterima atau dibuat.
Contoh surat pengunduran diri ketua rt. Cara membuat surat pemberitahuan harus diawali dengan format yang cukup jelas. Karena berkaitan dengan pemberitahuan maka pada bagian ini tuliskan.
Kepada YTH Bapak Ibu. Contoh Surat Berita Acara. Oleh itu sebagai pekerja anda harus menunjukkan sikap yang baik seperti.
Contoh Berita Acara Serah Terima Ketua Contoh Z. Terkadang kop surat tidak dibutuhkan jika dibuat nonformal. Format Contoh Surat Pemberitahuan Resmi Yang Baik Dan Benar Kumpulan Contoh Surat Begitupula dengan penyewaan sawah dan lahan pertanian untuk digarap pembuatan surat perjanjian sewa tanah pertanian atau surat.
Mukhammad Andika Kangen Band. Sehubungan berakhirnya masa jabatan sebagai manager PT. Pajak Standar yaitu.
Contoh surat pemberitahuan habis masa kontrak kerja bagikan contoh. PejabatKuasa Baru Nama NPWP Jabatan Mulai tanggal. Contoh Surat Rasmi Format Baru In addition it will include a picture of a kind that may be seen in the gallery of Contoh Surat Rasmi Format Baru.
Surat Pemberitahuan Pengurus Baru Kelompok. Format Contoh Surat Kebenaran Ketua Jabatan yang Benar 2019. Berdasarkan peraturan manajemen perusahaan PT XXX.
Mereka yang boleh mmebuat surat sokongan pekerja dibawah jabatan mereka ialah. Pokok-pokok surat pemberitahuan perusahaan kepada karyawan sebagai berikut. Contoh Surat Pemberitahuan Pembayaran Content from contentcoid Fc sertifikat pendidik kepala sekolah baru 8.
Yth Bapak Arief Wijaya. Ir donesia sebagaimana ternyata dari surat penerimaan. The collection that consisting of chosen picture and the best.
Apa itu SOP Standar Operasional Prosedur. Bertindak untuk dan atas nama sendiri untuk selanjutnya disebut sebagai PIHAK PERTAMA. No Nama NIK Jabatan Jenis Komoditi 1 Zulfah Ketua Sayuran Pekarangan 2 Marpuah Sekretaris Sayuran Pekarangan 3 Nurhayati Bendahara Sayuran Pekarangan Demikian perubahan pengurus kelompok wanita tani yang kami sampaikan untuk selanjutnya agar dilaksanakan.
Ketua Rt Dan Rw Mundur Massal Kabar Banten. Patuh arahan ketua dan pegawai atasan. Contoh surat ini lebih singkat dan sederhana sehingga langsung menuju kepoin dari surat itu sendiri.
Ketua Lpmd Cikaranggeusan Jampangkulon. SURAT SERAH TERIMA JABATAN. Berdasarkan pemilihan Ketua dan Wakil Ketua RW 04 wilayah Kelurahan Selalu Rukun Kecamatan Bahagia Kota Bandung pada tanggal 5 Mei 2016 maka telah ditetapkan bahwa Bapak Dedi Setiawan dan Bapak Tisna.
Rukun Warga 010 Kelurahan Kalisari Serah Terima Jabatan Ketua Rw 010. RM290OO KGT Greci 148 KGT Gred 152 Tarikh 172017 182017 282017 172018 30112018. Surat ini sebagai bukti bahwa telah terjadi pergantian.
Pemberitahuan dan Persyaratan Menjadi Calon Ketua RT 02 RW 11. Contoh tanda tangan. Berikut contoh surat mandat organisasi.
0751 7055644 Email. Cost-sharing dengan Lembaga Instansi Pemda asal masing - masing mahasiswa. Sudahkah tahu seperti apa contoh surat pemberitahuan.
Contoh surat pemberitahuan perubahan nomor rekening perusahaan.
Surat Pemberitahuan Akhir Masa Jabatan Kuwu Pdf
Contoh Surat Pemberitahuan Habis Masa Jabatan Bpd Contoh Otosection

No comments for "Contoh Surat Pemberitahuan Ketua Jabatan Baru"
Post a Comment